1 tolaney, who was the senior author of the study, noted. The survival rate at four years among women with hr+/her2− is estimated to be 92.5%, followed by hr+/her2+ at 90.3%, hr−/her2+ at 82.7%, and hr−/her2− at 77.0% [1].
Those who have questions about the survival rate for her2 positive breast cancer are encouraged to consult with a physician at moffitt.
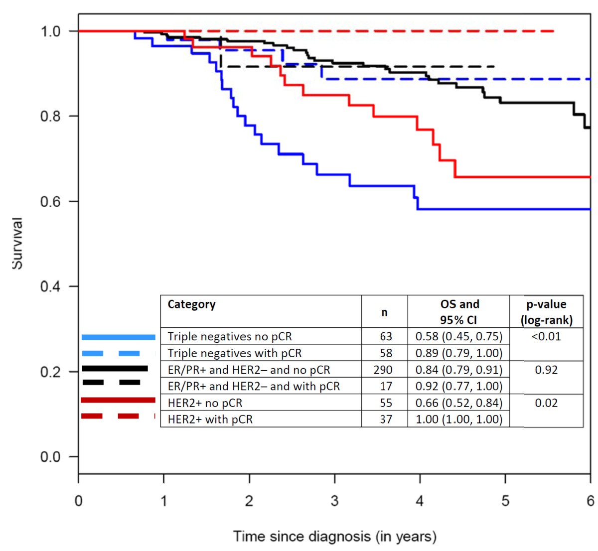
Her2 positive recurrence rate. Recurrence included patients with early stage bc, regardless of her2 status. Because tn breast cancer is known to be an especially aggressive subtype, our study showed cancers of this subtype made up 10 % of the late group, compared with 24 % of the early group. Despite these odds, you may still feel nervous about your chances of cancer recurrence if you have a history of her2 positive breast cancer.
Recurrence can happen anytime, but it usually takes place within 5 years of. Her2 + status predicted recurrence within 5 years; In a study of 260 gastric cancers, her2 overexpression was an independent negative prognostic factor and her2 staining intensity was correlated with tumor size, serosal invasion,.
1 tolaney, who was the senior author of the study, noted. The her2 (human epidermal growth factor receptor 2) oncogene is positive in about 20% of primary invasive breast cancers [2]. These cancers are usually treated with drugs that target her2.
Hazards of recurrence of these patients with respect to hormone receptor status of the primary tumor have not been described. Using data from 1,260 patients randomized to placebo in the adjuvant teach trial,. Only five her2 + patients (4 %) were in the late group, and three of these five also had positive hormone receptors.
“however, randomized trials of adjuvant trastuzumab included a limited number of patients with stage i disease.” Other studies also confirmed a higher rate of her2 positivity in gej tumors and intestinal subtype. Those who have questions about the survival rate for her2 positive breast cancer are encouraged to consult with a physician at moffitt.
Herceptin works by attaching to the her2 protein and blocking it from receiving growth signals. If the ihc result is 2+, the her2 status of the tumor is not clear and is called equivocal. this means that the her2 status. However, recurrence rates vary and depend upon more than simply the her2 status of the tumor.
Herceptin, which is given intravenously, is approved by the u.s. Her2 overexpression is directly correlated with poorer outcome in gastric cancer. Like other breast cancers, recurrence rates depend upon the extent of spread of the tumor at the time of diagnosis (stage) of the tumor along with other.
After adjusting for potential confounding factors, the nature of the effect of her2 on recurrence rates was found to differ markedly across the sites of recurrence. The survival rate at four years among women with hr+/her2− is estimated to be 92.5%, followed by hr+/her2+ at 90.3%, hr−/her2+ at 82.7%, and hr−/her2− at 77.0% [1]. The majority of patients with her2 positive cancer do not experience recurrence.
Please also see her2+ recurrence & survival data. These cancers do not respond to treatment with drugs that target her2. For brain and pleura recurrences, the effect of her2 depended on hr status.
Four integrative subtypes were identified that were associated with a high risk of late recurrence (a recurrence rate of 47% to 62%). Food and drug administration (fda) to: